1. Tujuan
[back]
a. Mahasiswa mampu memahami konsep dasar Fuzzy Kontrol Sistem
b. Mahasiswa mampu merancang Fuzzy Kontrol Sistem
2. Alat dan Bahan
[back]
Alat yang dibutuhkan pada pembelajaran ini yaitu software MATLAB
MATLAB merupakan bahasa pemrograman tingkat
tinggi yang dikembangkan oleh MathWorks dan dikhususkan untuk komputasi
numerik, visualisasi, dan pemrograman.
Tampilan MATLAB:
III. FUZZY
CONTROL FOR SERVO MECHANIC SYSTEMS
Secara tradisional, sistem mekanik servo diperlakukan
dengan kontrol linier sistem. Sistem mekanik servo dimodelkan sebagai sistem
linier dan pengontrol yang sesuai dirancang berdasarkan model.
A.
Fuzzy Modeling of a Servo Mechanic System
Sebuah sistem dinamis dapat dimodelkan dengan
seperangkat aturan logika fuzzy dalam bentuk dari pernyataan IF-THEN, di mana
klausa IF bersyarat terdiri dari logika kondisi tentang nilai-nilai variabel
keadaannya, dan konsekuensinya THEN-clause terdiri dari nilai-nilai status transisinya.
Sistem mekanik servo dengan dua variabel keadaan, x1(t) mewakili perpindahan
sudut θ(t) dan x2(t) mewakili kecepatan sudut θ(t) , dan satu input kontrol,
u(t) mewakili torsi τ(t), dapat direpresentasikan dengan aturan logika fuzzy
sebagai berikut:
Dimana
Himpunan fuzzy dengan sembarang bilangan bilangan bulat ditulis
dengan persamaan:
Pemilihan konstanta akan menentukan lebar antara
bagian atas dan batas bawah, yaitu, fleksibilitas dalam deskripsi fuzzy yang
akan mencakup kelas sistem yang lebih besar.
Model fuzzy dari Gear box adalah
B.
Fuzzy Controller of a Servo Mechanic System
Dengan menggunakan system fuzzy dapat dibentuk
system mekanik yang stabil. Untuk merancangnya, aturan fuzzy dalam pengaturan
stabilitas ini dapat dirumuskan :
Aturan fuzzy ini menggambarkan sistem apa pun yang memiliki variabel status yang dibatasi dari atas dan bawah oleh
Dengan mempertimbangkan beberapa kondisi dimana nilai J selalu positif dan nilai matriks harus negatife definite, maka diperoleh persamaan :
Bagaian batas atas
Batas bawah
C. Computer Simulations and Numerical Results
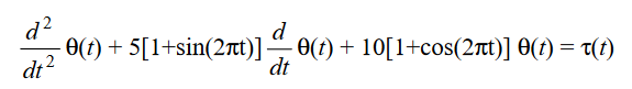
Contoh 7.4 : sebuah system dinamik yang mwakili
system mekanik servo memiliki persamaan
Model fuzzy terhadap system ini
maka fuzzy controllernya sebagai berikut
Pada system close loop
Contoh 7.5 : Tujuan dari contoh ini adalah untuk
menentukan apakah suatu fuzzy desain pengontrol berdasarkan model dengan
parameternya yang diestimasi secara keliru masih fungsional. Sistem yang
dinamis
Model fuzzy yang digunakan
Kontroller fuzzy
Contoh 7.6 : Tujuan dari contoh ini adalah untuk menentukan apakah suatu fuzzy desain pengontrol berdasarkan model dengan parameternya yang diestimasi secara keliru masih fungsional. Sistem yang dinamis.
Kontroler fuzzy
FUZZY
PID CONTROLLERS FOR SERVO MECHANIC SYSTEMS
1.
Pengendali Proporsional Fuzzy
Berdasarkan
pengendali proporsional analog sinyal keluarannya adalah
maka
untuk pengendali proporsional Fuzzy sinyal keluarannya adalah:
Secara
blok diagram dapat digambarkan sebagai berikut
2.
Pengendali Proporsional Integral
Fuzzy
Sinyal keluaran PI
analog adalah:
Sinyal keluaran PI
Fuzzy adalah:
Secara
blok diagram dapat digambarkan sebagai berikut
3.
Pengendali Proporsional Derivatif
Fuzzy
Sinyal keluaran PD
analog:
Secara
blok diagram dapat digambarkan sebagai berikut
4.
Pengendali PID Fuzzy
Sinyal keluaran PID analog adalah:
Secara
blok diagram dapat digambarkan sebagai berikut
